The individual elements of a screen page are presented below.
The entries in the menu in the left part of the screen are based on the activities in a test project. The individual sections are:
|
Define |
In the Define section, all objects required for a test project are created, edited and managed. The objects managed here include the project itself, test environments, systems under test, test cases with their individual test steps, and test suites. In the Klaros-Testmanagement Enterprise Edition additional objects are iterations, requirements and test segments. |
|
Plan |
In the Plan section, jobs for executing or reviewing tests are created and managed. Tasks, can be assigned to individual users, and their progress can be tracked in detail. This section is only included in the Klaros-Testmanagement Enterprise Edition. |
|
Execute |
In the Execute section, jobs, manual test cases and test suites will be executed. Before a test can be executed, a system under test and a test environment must be created and selected. Klaros-Testmanagement guides the tester step by step through the manual test and automatically logs the results. Results and comments can be added to each test step. Tests can be interrupted and continued at a later time. |
|
Evaluate |
In the Evaluate section, a configurable dashboard and various reports provide an overview of the status of the tests. Both overview reports and fine-grained information are available so that each individual test execution can be tracked and visualized. |
|
Configure |
The Configure section is intended for administrative tasks, such as system settings, user management, creating report templates, integrating issue management systems, requirements management, LDAP and the like. Data backup and the import and export of projects are also performed here. |
The following chapters will describe each category in detail.
Depending on the Klaros-Testmanagement edition, you will find either a search box in the top right corner of the page (see Figure 5.3) for quick navigation to objects with a specific ID or for a full text search in the currently selected project.
The Search field allows the user to search for object ids or words or phrases contained in fields of objects. This search function uses Apache Lucene, which provides a powerful syntax for searching individual fields or with wildcards. This syntax is described on the Apache Lucene website.
Figure 5.4 displays the Search-Results page. This page displays all occurrences per object type in a separate view. The search term is highlighted in color.
The status line displays the time needed for the search and the number of hits, see. Figure 5.5
The full text search is only included in Klaros-Testmanagement Enterprise Edition. In the Klaros-Testmanagement Community Edition instead of the full text search a quick navigation field for known element IDs (like TC00001) is available. The following object types are supported there:
Please note, that ids will be searched for in the current project only.
![]() |
Shortcuts in Quick Navigation |
|---|---|
|
The quick navigation is case-insensitive and can also be abbreviated by omitting leading zeros.
So |
The log panel displays status messages such as warnings or information. By default, only the last status message is displayed. Clicking the icon on the right side of the log panel displays the status messages since the last login. Clicking the icon closes the log panel.
The help menu provides quick links to various Klaros-Testmanagement resources. Pressing the help menu icon opens a menu with the following links:
|
Documentation |
Opens the relevant page in the manual. |
|
Tutorial |
Opens up the Klaros-Testmanagement tutorial. |
|
Forums |
Opens up the Klaros-Testmanagement message boards. |
|
Support |
Prepares an e-mail to be sent to the Klaros-Testmanagement support team. This option can be used when experiencing an issue using Klaros-Testmanagement which couldn't be solved using the documentation or the message boards. |
The user menu icon on the upper right of Klaros-Testmanagement opens the user menu.
The name and role of the currently logged-in user is displayed here. It is possible to change the user interface language and log out of the system.
The content of a page changes due to navigation via the menu bar or other actions.
The pages generally have the same structure. The following two basic patterns exist: overview pages and detail pages
On an overview page several objects of the same type (e.g. test cases) are displayed and managed in a table.
On selected tables it is also possible to filter the listed entries by full text search as described in Section 5.2.2.1.1, “Full Text Search”.
By entering a search term in the input field above the table, the text fields of the displayed objects are searched for the specified search term and the list is filtered accordingly.
The objects displayed in a table can be filtered and sorted by their attributes. This includes attributes that are not directly visible in a list column. By clicking on the Filter/Sort icon above the table, a panel with two further tables opens. The left table contains the active filters, while the right table contains the active sort criteria. If a filter is used, the icon is marked with an orange color.
Below the two tables there are three buttons:
Each row in the filter table represents a filter which is applied to the table.
Clicking the button adds a new, empty filter to the filter table. Each row has four columns:
The Value column specifies the value of a constraint, e.g. the user by which a field should be filtered.
![]() |
Multiple Selection |
|---|---|
|
For some entries, such as users, multiple selection is also possible. To do this, hold down the CTRL key and select the desired entries individually. |
Table entries can be sorted by multiple criteria. The sorting criteria are specified in the right table in the Filter/Sort panel.
It is possible to specify more than one sorting option. In this case, the top row of the table has the highest priority and the bottom row has the lowest priority.
Clicking the button creates a new empty row for a sort criterion is created at the bottom of the table. To remove the row, use the Delete icon in the column.
The sorting options table contains three columns:
To manage a large number of objects, they can be categorized according to any criteria. This function is available for the following objects: Iterations, Requirements, Systems under Test, Test Environments, Test Cases and Test Suites. The categorization panel is opened by clicking the Categories icon above the table.
In the Categorization panel, Category groups and Categories can be created. Each category group contains any number of categories that can be arranged in a tree structure. Objects can be assigned to any category in each category group. The number of categories or category groups is not limited.
In order to apply categorization, the Categories panel must be open. It contains two different views: Edit and Tree. If no categories have been defined, only the edit view can be used. Each view allows selection of the active category group through the use of a dropdown menu, or selection of the blank category group to disable categorization.
This view allows creating and editing category groups and categories as well as organizing category hierarchies. Clicking the icon at the top of this view creates a new category group.
Categories can also be added, edited and deleted in this view. A category group always contains a root category that cannot be deleted. By clicking on the a new subcategory is added to a category. Clicking on the will delete a category.
Categories may be renamed by changing the value in the name field and also given a description through use of the edit button.
Changing the order and hierarchy of categories is also possible via drag and drop.
This view shows an overview of the category structure. The available categories are represented as a collapsible tree, with the name of each category is shown, along with the number of objects it contains. The description of each category is shown as a tooltip when its name is hovered over with the mouse pointer.
To assign objects to categories in a table, the Categories panel must be open and the Tree view must be enabled in it.
To assign objects first activate the category containing the objects that should be assigned and select the objects. Then click on the folder icon above the table. A dialog will appear. Choose the appropriate category to which you want to assign the objects and click the button. The selected objects are now assigned to the chosen category.
Please note, that you can not assign objects from multiple categories to a single category at once. In case that the desired objects belong to different categories you must repeat the step for each category.
The category assignments are listed on the detail page of the respective object under the User Defined tab.
If an object is deleted, it gets a deletion marker and is no longer displayed on the overview page. Administrators can view deleted objects by clicking the button. Clicking on the button will hide them again. This function is available for the following objects: Iterations, Jobs, Projects, Requirements, Test Cases, Test Environments, Test Runs, Test Segments, Test Suites, Test Systems and Users.
![]() |
Automatic Saving of the Setting |
|---|---|
|
The selection whether deleted objects should be displayed is automatically saved for each overview page and administrator. |
In tables, bulk actions are often also available for the displayed objects. This means that several entries in the list can be selected and processed together. This applies, for example, to deleting, duplicating, editing or assigning to categories.
In order to use a bulk action, the user must first select one or more objects in the list using the check-boxes to the left of the table. The buttons above and to the left of the table then become active. Figure 5.16 shows the bulk action buttons on the test case overview page.
Before a mass action can be executed, all changes in the table must be saved. If there are still unsaved changes, a dialog will appear.
A confirmation dialog is displayed once a bulk action icon has been clicked. These dialogs describe the action which will be carried out and sometimes contain input fields, e.g. to enter the revision comment for the bulk new revision action. All changes are written to the database as soon as this dialog is confirmed.
A single object is displayed and managed on a detail page.
Objects can be displayed in a print-optimized representation on their own page by clicking on the icon. The icon can be found in the Action column in the table, in the list of mass operations at the top left of tables and as a large icon at the top right of Detail pages.
The display can be modified by the following parameters.
The selected print options will be preserved during a user session.
Figure 5.18 shows the print view for a test suite.
![]() |
Browser print settings |
|---|---|
|
The option Print Backgrounds and Images must be activated to achieve the best output quality. |
The detail page of any object can be accessed directly via a special URL generated by the system. By clicking on the icon this URL to the current page is copied to the clipboard and can be shared with any other application.
Section 6.1.2.5.1, “Assigning Project Specific Roles” explains the configuration of controlling access to bookmarked pages.
For every type of object in Klaros-Testmanagement there is a dedicated overview tab which shows the most important data for this object at a glance. In addition to plain data, many overview pages contain various tables and diagrams, like for example the success history for test suites, which helps to visualize the test progress.
To customize projects to specific requirements, objects can be extended with user-defined fields.
These are created separately for each project in the Project section of the User-Defined view, see Figure 5.21.
Pressing the button adds a new user defined property to the list. After adding a new property, the field type must be chosen.
User-defined fields can be created for the following objects, these are each managed in their own tab: Test Case, Test Step, Test Segment, Test Suite, Test Environment, Test System, Test Run, Requirement, Iteration.
The four possible property types are:
|
Text |
The property will be a single-line text field. |
|
Text Field |
The property will be a multi-line text field. |
|
Boolean |
The property will be a check box. |
|
Selection |
The property will be a drop-down box to select a single entry from a predefined list of values. |
|
Multiple selection |
The property will be a list to select none, one or multiple entries from a predefined list of values. |
The default value of the property can also be set here.
After the new property has been saved, the property type can no longer be changed. The name of the property and - if available - the list of enumeration values can be changed at any time.
The icon next to the enumeration name opens the dialog for editing the enumeration values, see Figure 5.22.
Once custom properties are created, they can be edited in the Custom view of the associated object ( Figure 5.23).
For test runs, the values of the custom properties are captured in the respective execution dialog, see Figure 8.3.
Requirements, Test Cases, Test Segments and Test Suites are revisionable objects.
A new revision of an object should be created when a major edit is taking place. For example, an older revision of a test case can only be executed when used with older versions of a system under test as newly added test steps are only applicable to never versions of the system under test.
Revisions of objects can be managed from the Revisions tab. This tab shows the revision history for the object, allows the user to change the revision comment associated with each revision and also allows creating new revisions. The revision history table may be used to select the revision to display and edit.
Many objects have a direct relationship to other objects. Objects like e.g. Test Cases or Requirements may exist in different revisions, so one revision of an object can be referenced by any revision of other objects. Every revision of an object may contain its own references to other objects, regardless of the relationships of the other revisions. In addition, every revision of an object can be related to one or more specific revisions of another object.
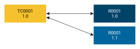
Example: Given is the test case TC0001 and the requirement R0001. Requirement R0001 is covered by the test case TC0001. Both are still in the initial revision 1.0.

Now a new Revision 1.1 of Requirement R0001 is created which is also covered by Test Case TC0001. So TC0001 is now covering the Requirement R0001 in both revisions.

Next, a new revision of test case TC0001 is created, since revision 1.0 of requirement R0001 has become obsolete. Therefore, revision 1.1 of the test case will now reference the newest revision of the requirement.

After creating the new revision of test case TC0001, we discover that requirement R0002 is also covered by this test case revision. Therefore, we add further coverage between R0002 and the test case TC0001 in Revision 1.1.

This example shows, that although the Test Case and the Requirement are the same objects, their relationship can change over their revision history. References are defined per revision, and so can be different with each revision. This does not only apply to test cases and requirements, but also to other revisionable objects like test suites or test segments.
For many objects file attachments can be uploaded and linked to this object. This can be done within the Attachments view on the corresponding detail page of the object or during the execution of a test case.
In the table on the attachment detail page, the Name, the Size, the File Type, the Version and the name of the creator. are displayed. The row contents can be edited directly in the table.
Click on the button to open a dialog. The button opens a dialog to select the attachment. With the selected file is uploaded to the application. If you want to upload more files, repeat the steps. Click to save the file permanently.
![]() |
Clipboard Support |
|---|---|
|
On browsers of the Chrome family (Chrome, Brave Microsoft Edge), an upload via Ctrl+V supported. Such, e.g. screenshots can be transferred without saving them in the file system. |
In the action column saved attachments can be downloaded ( ) and deleted ( ).
![]() |
File Size Limitation |
|---|---|
|
The file size of an attachment can be limited to prevent the upload of excessively large files. This can be defined under Configure -> System -> Other. |
If a file with the same name is uploaded multiple times, a new version of the attachment is created. This version contains the newly uploaded file.
Some detail pages show a tab with test runs and test results which are related to the object being displayed, e.g. executed in the displayed test environment or executed by the displayed user. An example of a Test Results tab is shown in Figure 5.26.
In both of these tabs, the names of objects are links to the Details Pages of the objects. The icon displays the Details Page of the corresponding test run or test result.
In the Test Runs tab ( Figure 5.26), reports may also be generated, as described in Section 9.3.4, “The Test Run Report”.
This tab displays the entire change history of the object since its creation.
Figure 5.27 shows the Changes tab for a test case.
All changes are marked in color: green for newly added entries, red for deleted entries. Changes for non-text values are marked in the form Old value -> New value.
Furthermore, it is indicated which user has carried out a change and at what time it was made. If several changes were made at once, they are grouped together per save operation.